按照《预算法》《地方预决算公开操作规程》和省委办公厅、省政府办公厅《关于进一步推进预算公开工作的实施方案》、市委、市政府《关于进一步推进预算公开工作的实施方案》,现将2019年部门预算公开如下:
(一)主要职能
天水市环境保护局成立于1995年6月,规格为正县级,现为市政府工作部门。主要职能是:负责建立健全环境保护有关制度;负责全市污染减排目标责任落实;负责环境污染防治的监督管理;指导、协调、监督生态保护工作;承担农村生态环境保护工作;负责核与辐射环境安全的监督管理;负责危险固体废物及废弃化学品污染防治和监督管理;负责环境监测和信息发布;负责重大环境问题的统筹协调和监督管理;组织指导和协调环境保护宣传教育工作;负责环境保护科学技术的推广应用等。
(二)人员构成情况
天水市环境保护局内设办公室、环境管理科、污染减排科、法制宣教科、总量控制科、自然生态保护科(加挂农村环境保护科牌子)、环境管理科(加挂行政审批改革科牌子)、市环境保护局经济技术开发区分局七个科室:下属1个副县级参照公务员法管理事业单位:市环境监察支队;下属5个正科级全额拨款事业单位:为市环境监测站、市环境信息中心、市环境监控中心、市辐射监督站、市环境应急与事故调查中心。
三、部门预算安排情况
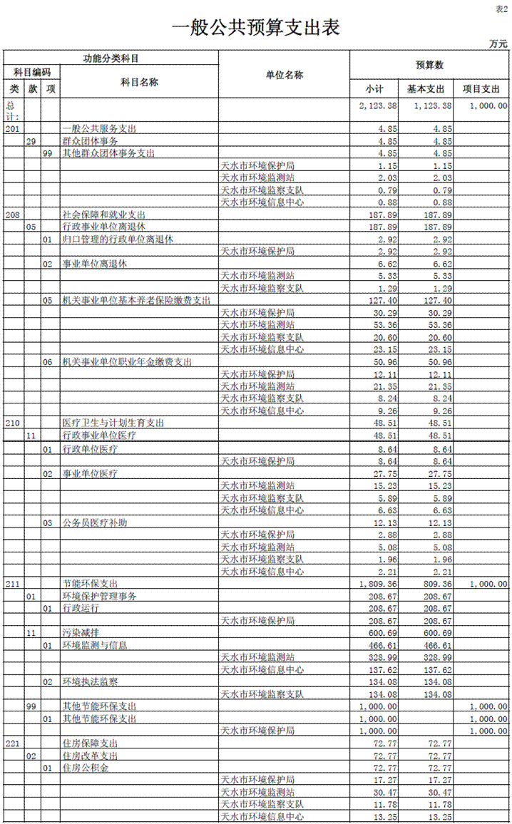
2019年财政拨款收入预算2123.38万元,其中:上年结转资金5.12万元,一般公共服务支出4.85万元,社会保障和就业支出187.89万元,卫生健康支出48.51万元,节能环保支出1809.36万元,包括(基本支出809.36万元,项目支出1000万元),住房保障支出72.77万元。比2018年预算增加114.38 万元,增长5.6 %,增长的主要原因是:①2018年预算公开1个一级预算单位数据,2019年增加了2个二级预算单位。②2018年4月开始规范了养老和职业年金缴费导致社会保障就业支出增加,工资调整基数增大导致住房保障支出增加。
(一)基本支出
2019年一般公共预算基本支出1123.38万元,其中人员经费985.33万元,公用经费138.05万元。比2018年预算增加739.5万元,增加33 %,增加的主要原因是①2018年预算公开1个一级预算单位数据,2019年增加了2个二级预算单位。②2018年4月开始规范了养老和职业年金缴费导致社会保障就业支出增加,工资调整基数增大导致住房保障支出增加。
(二)上年结转资金情况
2019年上年结转资金5.12万元。主要用于全局日常公用经费支出。
(三)项目支出
1、项目支出增减情况
2019年项目支出1000万元,其中:一般公共预算拨款 1000万元,与2018年没有变化。
2、项目分类分级情况
2019年项目支出1000万元,其中:大气污染网格化监控系统运行项目150万元、市县区人员培训项目60万元、宣传及编制印刷项目40万元、执法检查及督察项目80万元、监督性监测和环境监测项目60万元、信息公开项目10万元、污染源普查项目50万元、办公费项目65万元、机动车尾气抓拍项目30万元、激光雷达大气系统项目200万元、环境应急能力建设项目20万元、智慧环保运维项目80万元、移动执法项目85万元、第三方咨询项目70万元。
(四)政府支出功能分类指标
1、一般公共服务4.85万元。
2、社会保障和就业支出187.89万元。
3、医疗卫生与计划生育48.51万元
4、节能环保支出1809.36万元
5、住房保障支出72.77万元
(五)非税收入
2019年本部门计划征收60万元,主要是罚没收入。
(六)政府性基金预算支出
无政府性基金预算:2019年天水市环境保护局无政府性基金预算安排的支出。
四、部门一般性支出、三公经费财政拨款情况
(一)因公出国(境)费用0万元,无变化
(二)公务接待费1.02万元,比2018年预算增减1.02万元,增长主要原因是业务增加导致上级督察增多,增加了接待费用。
(三)公务用车购置及运行维护费2万元比2018年无增减变化。
(四)培训费5.98万元,比2018年预算增加1.48万元,增长主要原因是加大市县区人员专业培训。
(五)会议费0万元,比2018年预算无变化
(六)机关运行费127.64万元,比2018年预算增 21.5 万元,增长的主要原因是机构改革人员增加导致运行经费增加。
五、其他重要事项情况说明
(一)政府采购情况:政府采购260.3万元,其中:大气污染防治网格化监控系统服务100万元,移动执法85万元,印刷费20万元,网络服务费5万元,办公设备19.5万元,办公耗材4.8万元,第三方服务费20万元,会议费6万元。
(二)国有资产占用情况:我局固定资产350.9万元,其中:房屋价值5.5万元、面积400平米(大众路老办公区未移交)。通用设备220.102万元,专用设备100.7万元,家具24.61万元。
(三)部门绩效评价进展情况:根据财政预算绩效管理对我单位2019年度一般公共预算项目支出涉及的大气污染网格化监控系统、监督性监测和环境监测等14个项目开展了重点绩效评价,总资金1000万元,占一般公共预算项目支出总额的100%,项目自评得分为优良。
六、名词解释
1.财政拨款:本级财政部门当年拨付的财政预算资金,包括公共预算财政拨款和政府性基金预算财政拨款。
2.基本支出:预算单位保障正常运转,完成正常工作任务发生的支出,包括人员支出和公用支出。
3.项目支出:预算单位为完成其特定的行政工作任务或事业发展目标所发生的支出。
4.“三公”经费:用财政拨款安排的因公出国(境)费、公务用车购置及运行费和公务接待费。其中,因公出国(境)费反映单位公务出国(境)的住宿费、旅费、伙食补助费、杂费、培训费等支出;公务用车购置及运行费反映单位公务用车购置费及租用费、燃料费、维修费、过路过桥费、保险费、安全奖励费用等支出;公务接待费反映单位按规定开支的各类公务接待(含外宾接待)支出。
5.政府性基金:指为支持特定公共基础设施建设和公共事业发展,向公民、法人和其他组织无偿征收的具有特定用途的财政资金。
6.其他收入:指预算单位在“财政拨款收入”、“事业收入”、“经营收入”之外取得的收入。
7.机关运行经费:为保障行政单位(含参照公务员法管理的事业单位)运行用于购买货物和服务的各项资金,包括办公及印刷费、邮电费、差旅费、会议费、福利费、日常维修费、专用材料及一般设备购置费、办公用房水电费、办公用房取暖费、办公用房物业管理费、公务用车运行维护费以及其他费用。
8.一般公共服务支出;反映政府提供的一般公共服务的支出。
附件:天水市环境保护局2019年部门预算公开表












